4. A BIOLÓGIAI SZŰRÉS ELŐFELTÉTELE
4.1 A Pe-szám értelmezése
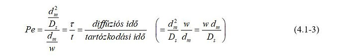
Az anyagtranszport hasonlósági kritériuma Pe-szám, amely a következő alakot ölti:
ahol w [m/s] szűrési sebesség
dm [m] mértékadó szemcseátmérő
(homok szűrőréteg esetén megegyezik a jellemző szemcseátmérővel)
Ds [m2/s] szubsztrát (a lebontandó szennyezés) diffúziós tényezője
A Pe-szám dimenziómentes szám. Három eltérő tulajdonságot sűrít magába: az üzemtan legfontosabb paraméterét a szűrési sebességet (w), a tisztítandó víz minőségét (Ds) - amelyet a szennyezőanyag diffúziós tényezőjével jellemzünk - és a szűrő- vagy a biofilmhordozó közeg meghatározó sajátságát, a mértékadó szemcseátmérőt (dm) amely a hordozó felület nagyságának mértékére is utal. Minél kisebb a mértékadó szemcseátmérő, annál nagyobb a baktériumok által belakható felület.
A Pe-számot eredendően a konvektív és a konduktív áram arányaként interpretálták:


Ennek a felfogásnak mentén is megadható a hatékony lebontás előfeltétele, miszerint a biofilmhez megérkező tápanyagot oda be is kell jutatni, azaz Pe ~ 1 érték a kívánatos.
Egy másik értelmezés azonban szemléletesebb. A tört algebrai átalakítása után a következő alakhoz jutunk:

A kifejezés a távolságú diffúziós úthossz megtételéhez szükséges idő és a dm méretű biofilmhordozó részecske előtti tartózkodási idő hányadosa.
A hatékony lebontás előfeltétele az, ha ez a két időtartam közel megegyezik egymással, azaz Pe ~ 1. Pe<1-nél nem érkezik elegendő tápanyag a biofilmhez, Pe>> 1 esetén a tápanyag elsiet a biofilm előtt, ahelyett, hogy oda bejutna.
4.2 A Pe-szám kiszámítása
A Pe-szám kiszámítása egyszerű feladatnak tűnik. A különböző víztisztítási eljárások esetén az egyes tényezők értelmezése és meghatározása azonban jelentős nehézségekkel jár.
4.2.1 A mértékadó szemcseátmérő
A hasonlóságelméleti megfontolásokban a Re = cL/υ (Reynolds-szám) képletében az L lineáris kiterjedés valamilyen geometriai méret. Ha csővezetéki áramlásról van szó, akkor megegyezés szerint L = d, a vezeték átmérőjével, mechanikai homokszűrés esetén L = dj a szűrőközeg jellemző szemcseátmérőjével (pl. a szemcseeloszlási görbe inflexiós pontjához tartozó érték) azonos, a szivattyúsok a járókerék L = D2 átmérőjét használják ugyanezen célból. A feladat jellege határozza tehát meg, hogy mit tekintünk jellemző geometriai méretnek.
A Pe-szám képletében is szerepel egy lineáris kiterjedés, amelyet korábban már dm mértékadó szemcseátmérővel azonosítottunk. Modellezésünk a biológiai szűrés modellezéséről szól és ehhez a feladathoz keresünk jellemző geometriai méretet. Másszóval definiálni szükséges a dm, mértékadó szemcseátmérő fogalmát.
A biofilmhordozó anyagok választéka meglehetősen széles, amely lehet homok, aktívszén, zeolit, szennyvíziszap flokkulum, növények gyökérzete vagy akár műanyag csepegtetőtest. Felületükön mikrobák megtapadása figyelhető meg. Vannak köztük olyanok, amelyeknek csak külső felszínük van (pl.: homok, növények gyökérzete), és vannak olyanok is, amelyek belső felületi struktúrával is rendelkeznek (aktív szén, zeolit). Általánosságban az mondható el, hogy biológiai tápanyag-lebontás megvalósulásakor a V térfogatú reaktortérben a biofilmhordozó közeg adott F felülettel bír.
A meglehetősen eltérő felépítésű biofilmhordozók között. egyfajta közös nevező megteremtésére van szükség Ennek létrehozásához a de egyenértékű szemcseátmérőt kell definiálni. Ehhez tekintsük a 4.2-1. ábrát.

4.2‑1. ábra
A de egyenértékű szemcseátmérő definíciója
de egyenértékű szemcseátmérő azoknak a golyócskáknak a szemcsemérete, amelyek ugyanazt a V teret kitöltve ugyanakkora F felülettel rendelkeznek, mint az ábra bal felén látható, általában külső felszínnel és belső felületi struktúrával is rendelkező biofilmhordozó anyag. Könnyű belátni, hogy a keresett szemcseméret a

képlettel számolható ki. A levezetés részleteit lásd Függelék 4-ben. Az így kiszámított szemcseméret nem egy valóságos méret, ha tetszik egy elméleti érték. A művelet egy olyan transzformációnak is felfogható, amely a kétdimenziós felületet lineáris kiterjedéssel méri. Minél kisebb a képzeletbeli golyócska mérete, annál nagyobb lesz a baktériumok által belakható felület. A nem feltétlenül triviális meglátás szemléltetésére lásd 4.2-2. ábrát.

4.2‑2. ábra
A felület és a szemcseméret kapcsolata
Mind a 4.2-1. mind a 4.2-2. ábrákon a V térfogat rajzolástechnikai egyszerűsítéssel gömbként ábrázolt. A V térfogat térkitöltési formája azonban bármi lehet, csak a térfogatazonosság a megkövetelt.
A de egyenértékű szemcseátmérő a különböző biofilmhordozó anyagok esetén, azok felületfizikai tulajdonságainak ismeretében kiszámolható. Függelék 4-ben a különböző elrendezések esetén a számítások mikéntje is nyomon követhető. A számítások elvégzéséhez a a fajlagos felület és a sűrűség ismeretére van szükség. A biofilm hordozó anyagok ezen paraméterei mérésekkel határozhatók meg.
Mikrobiológiai szempontból a biofilm hordozóanyagok egyenértékű szemcseátmérőjét a mikrobák méretéhez kell viszonyítani. Az átlagos baktériumi méretnél kisebb egyenértékű szemcseátmérővel bíró hordozóanyagok esetében a rendelkezésre álló felületnek csak egy része lesz használható, mert a szűkebb belső üregekbe a baktériumok nagyobb méretüknél fogva nem képesek bejutni, ott megtelepedni. A 4.2-3. ábra ezt a szituációt igyekszik szemléltetni.

4.2‑3. ábra
A felület és a mikrobaméret kapcsolata
Más szavakkal a rendelkezésre álló felület 100 %-os mértékben nem lesz kihasználható. A pusztán geometriai szemszögű vélekedést kísérletekkel is bizonyították. Az eleveniszapos reaktortérben elhelyezett zeolit granulátumon kialakuló biofilm csak egy bizonyos mélységig volt képes a belső terekbe behatolni, amit a garnulum felszín környéki elsárgulása illetve a belső terek érintetlenül maradása jelzett.
Kérdés hogyan lehet ezt a felületkihasználhatósági hatásfokot valamilyen módon megadni. A nagy fajlagos felületű anyagok bonyolult belső felületi struktúráját a de egyenértékű szemcseátmérő segítségével egyszerű lineáris kiterjedéssé transzformáltuk. A bonyolult felületi struktúrát ezáltal egyforma gömböcskék külső felszíneként képzeljük. Ugyanezt a gondolatmenetet követve a következő analógiával élhetünk.
A mesehős Münchausen báró nagyotmondásai során sem sörétre, hanem ágyúgolyóra ült rá. Egy olyan méretű ballisztikai eszközre, amelyre az ülepe ráfért.

4.2‑4. ábra
A mesehős Münhausen báró és az ágyúgolyó
Ennek megfelelően a baktériumok is képletesen csak egy bizonyos méretnél nagyobb átmérőn képesek megtapadni. Geometriai megfontolásból ennek az gömbi átmérőnek a nagysága önkényesen a baktériumi méret 4-5-szöröse lehet. A méretviszonyokat lásd 4.2-5 ábra szemlélteti.

4.2‑5. ábra
A mértékadó szemcseátmérő
Ennél kisebb méretű golyócskára a mikrobák már férnek fel, minden nagyobb méret esetén azonban igen. A dm mértékadó szemcseméret – ahogy a de egyenértékű szemcseátmérő is – csak egy fikció, amely alkalmas azonban arra, hogy határértéke legyen az igénybevető felületnek.
A Függelék 4-ben kiszámolt egyenértékű szemcseátmérők ábrázolhatók is. Miután a szóban forgó anyagok esetében a kiszámolt egyenértékű szemcseméretek nagyságrendileg térnek el egymástól ábrázolhatósásukhoz logaritmikus léptéket érdemes használni.

4.2‑6. ábra Méretviszonyok
A 4.2-6. ábrán a viszonyíthatóság érdekében más jellemző méretek is megadásra kerültek. Az ábra az önkényesen megválasztott határméret szerepét is igyekszik szemléltetni, miszerint:
-
ha az egyenértékű szemcseátmérő ennél a határméretnél nagyobb, úgy a mértékadó szemcseátmérő megegyezik az egyenértékű szemcseátmérővel (dm=de).
-
ha az egyenértékű szemcseátmérő ennél a méretnél kisebb, úgy a baktériumok nagyságuknál fogva nem képesek kihasználni a rendelkezésre álló felületet. Ekkor mértékadó szemcseátmérőt a baktériumi méret (b) néhányszorosával – példánkban 5-tel - azonosítjuk (dm:= 5*b). Ebben a tartományban a mértékadó és egyenértékű szemcseátmérő közötti különbségtétel egyfajta felület kihasználási hatásfoknak felel meg. A mindennapi gyakorlati szóhasználattal élve az aktívszén biofilm hordozóanyagként „túl jó”, nem használható ki óriási felülete.
Az alkalmazott logaritmikus skála azt jelzi, hogy egyes szűrőközegeket reprezentáló méretek között nagy távolság van. Megfigyelhetjük azt is, hogy jelenleg a piacon kapható műanyag biofilmhordozó termékek (WasserCare, Danpak) még messze elmaradnak az igényektől, fajlagos felületük meglehetősen kicsi.
A biofilmhordozó közeg kiválasztásánál ideális, ha a mértékadó szemcseátmérő a lehető legkisebb, de a mikroba méretnél némiképp nagyobb.
4.2.2 A szűrési sebesség
A partiszűrés esetében a szűrési sebesség meghatározása, adott esetben becslése könnyű, mert a biofilmet hordozó szűrőközeg áll, a tápanyagot szállító víz mozog.
Tekintsük a következő egyszerű számítást:
Két csáposkút távolsága 300 m, így egy kút előtti partszakaszhossza is ugyanennyi. A Duna szélessége is cca 300 m, amelynek méretnek a fele számít. Ennek a két számnak a felhasználásával
A = 300 m *150 m = 45.000 m2 beáramlási keresztmetszet adódik.
Egy csáposkútnak átlagosan Q = 5000 m3/d a kapacitása. A Q= A w képlet alapján w = 0,1 m/d adódik. A szűrési sebesség tehát a belépésnél nagyon alacsony, szemmel nem érzéklehető érték. A partvonalon (tágabban a szűrési útvonal mentén) végrehajtott izotópos sebességmérések is ezt a nagyságrendet adták vissza.
Vannak esetek, amikor a baktériumok belakta felület és a víz is mozog. Ez az eset fordul elő az eleveniszapos szennyvíztisztításnál. A diffúzió szempontjából a két mozgó médium relatív sebessége számít, amelynek pontos meghatározása nem könnyű feladat. A relatív sebesség nagysága emellett folytonosan változik is a térben. A sebességet itt a levegő befúvás és a keverés hozza létre. A mozgás szemmel látható, ami arra utal, hogy a relatív sebesség és vele konvektív sebesség a partiszűrésnél megfigyeltekhez képest lényegesen nagyobb érték. Az eleveniszapos medencékben kialakuló Pe-szám nagyságáról csak állapíthatjuk meg, hogy nem kellően alacsony.
A partiszűrés és az eleveniszapos szennyvíz tisztítás méret és a sebesség viszonyainak összevetésével további megállapításokat is tehetünk. A 4.2-7. ábrán a homokszemcséken és az iszappelyheken egyaránt mikrobák telepszenek meg. Az ábrán a baktériumok a közbenső ugyancsak köralakú kinagyításon láthatók.

4.2‑7. ábra
Mozgás- méretviszonyok
Irodalmi adatok alapján az iszappehely vagy flokkulum hozzávetőleges méretét 0,1 mm-ben adják meg, a partszakasz homokszemcséinek átmérője átlagosan 1 mm. A mikrobák nagysága ezzel szemben csupán cca. 2,5 E-3 mm. A Holdat (a flokkulumot) és a Földet (a homokszemcsét) az űrhajós (a mikroba) egyaránt óriásinak látja. A planétáról (biofilmhordozó közegről) kifele tekintve az „éterszél” (a tápanyagot szállító víz) sebessége érzékelhető csupán.
A két elrendezés közötti különbségtétel alapvetően a méret és mozgásviszonyok eltérésében van. Az eleveniszapos és fixfilmes rendszerek baktériumi szemszögből nézve tulajdonképpen azonosak. A biofilmre alkalmazott töredezett (nem összefüggő) és a fix jelzők mindennapos használata azt sugallja, mintha merőben eltérő dolgokról lenne szó. Sokkal hasznosabb, ha méret és sebességviszonyokat egyaránt magába foglaló Pe-számról beszélünk, még akkor is ha a w relatív sebesség meghatározása néhány kivételtől eltekintve nehézségekbe ütközik.
4.2.3 A diffúziós tényező
A víz szennyezettségét tulajdonképpen a benne oldott különböző, de többnyire szerves molekulák jelentik. Ezek a főáramról leválva a szilárd felületen megtapadó biofilmbe jutnak és lebomlanak. A biofilmen belül már szubsztrátnak tekintjük őket. A biofilmbe mozgásuk diffúzióval történik.
A különböző anyagok diffúziós tényezője elsősorban az M molekulák méretétől függ:

4.2‑8. ábra
Különböző anyagok diffúziós tényezője a molekulaméret függvényében
A molekula méretből a nomogram segítségével a Sc = υ / Ds Schmidt-számot számítjuk ki, majd a definíciós képletből a víz υ viszkozitásának segítségével kapjuk a Ds diffúziós tényező értékeit. Fontos megállapítani, hogy a diffúziós tényező számadatai (3 … 20) E-10 intervallumban találhatók. Az anyagfüggő változás mértéke csupán egy nagyságrend. A gyógyszermaradványok nagymolekulák. Amikor lebontásukról beszélünk nem hagyható figyelmen kívül, hogy lassan diffundálnak.
A diffúziós tényező a molekulák nagysága mellett a hőmérsékletnek is függvénye. A fentebb megadott diffúziós tényezők 25 °C-on érvényesek. Más hőfokokra átszámítani a 3.1-2. ábra szorzótényezője segítségével lehet.
Csökkenő hőmérséklettel a diffúziós tényező értéke is kisebb lesz. A hőmérsékleti szorzó minden anyag estében ugyanaz.
Miután tisztáztuk, hogy az egyes szennyező elemek eseték hogyan lehet a diffúziós tényezőt meghatározni, szükséges azt is megmondani, melyik értéket helyettesítsük a Pe-szám képletébe. A több fajta szennyező molekulát tartalmazó vízre vonatkozóan nem egy meghatározott értékről van szó, inkább jellemző tartományról kell beszélni. Gondolkozhatunk egyfajta átlagolásról is.

ahol Ci az i-edik szennyezőkomponens koncentrációja, de lehet a szemléletünk némiképp pesszimista, amikor Ds = min Di , a legkedvezőtlenebb értékkel számolunk.
A tápanyag a biofilmbe nagyobb diffúziós tényező mellett könnyebben bejut. A hőmérséklet emelése az egyik út a jobb diffundálás eléréséhez. Ez történik a rothasztótornyok fűtésekor. A másik út a molekulák dezintegrációja révén történhet. A molekulák „aprításával”, méretük csökkenthető, vele a diffúziós tényező növelhető. Az ózonkezelés, a kavitációs zónán való átvezetés és az ultrahangos behatás tartoznak a leghatékonyabb molekulaméret csökkentési eljárások közé.

